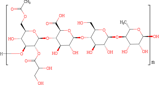
トラガントガム 構造 (480 無料画像)

x

技術紹介可変形状トラスVGTを利用した可動型構造物。

好きです: 107

タマリンドガムの基本情報・配合目的・安全性化粧品成分オンライン。

好きです: 203

からだの構造と機能 Ⅰ 脊柱の基礎・頸椎と頭蓋・胸椎と胸郭・上肢GAIA BOOKSユッタ・ホッホシールド, 丸山 仁司,バンヘギ裕美子 本通販Amazon。

好きです: 100

楽天市場 サワークリーム 中沢の通販。

好きです: 88

9000-65-1・トラガカントゴム, 粉末・Tragacanth Gum,Powder・206-02242・200-02245 詳細情報 試薬-富士フイルム和光純薬。

好きです: 484

01_キサンタンガム多糖類の種類多糖類.comMP五協フード&ケミカル。

好きです: 411

蓋:VSMQ 枠:SCTS鋼製溝付スリットみぞ蓋カネソウ株式会社 建設用金属製品の総合メーカ。

好きです: 149

オーガニックバニラビーンズペースト 50g 8本セット テイラー&カレッジ 菓子 ケーキ 製菓。

好きです: 308

DRAMとは:構造と動作原理Semi journal。

好きです: 281

Hダイヤモンドトラス - 立体構造巴コーポレーション。

好きです: 161

ケミカルドラム – 株式会社イトウのホームページ。

好きです: 114

◎値下交渉 マナテック アンブロトース ライフ パウダー LIFE 100g。

好きです: 177

蓋:VGRM 枠:SCFTスマートスリット・スマートトラフカネソウ株式会社 建設用金属製品の総合メーカ。

好きです: 29

ドラム缶:機能材料事業部 取扱製品信越アステック株式会社。

好きです: 241

Plasmaフレームワークのアーキテクチャの紹介 - GMOインターネットグループ グループ研究開発本部。

好きです: 197

トラガカントガム E413- 近くの健康食品。

好きです: 157

多糖類の相乗効果三晶株式会社 Sansho Co., Ltd。

好きです: 100

じろちゃん専用マナテック アンブロトースライフコンプレックス5個 じろちゃん専用マナテック。

好きです: 353

マナテック アンブロトーストライフ パウダ。

好きです: 202

カム機構 金型構造に使われる機構 その4技術情報MISUMI-VONA ミスミ。

好きです: 85

ノーベル賞で注目のGaN研究の歴史を振り返る 3ページ目日経クロステック xTECH。

好きです: 15

環状アミド構造を有するパイ電子系骨格群を開発:有機半導体デバイスに有用な材料 - EE Times Japan。

好きです: 24

数量限定 ガム入り ガチャガチャ ガチャ ボールガム ガム ガム すぐ遊べる ガム レフィル付属 玩具 おまけ。

好きです: 121

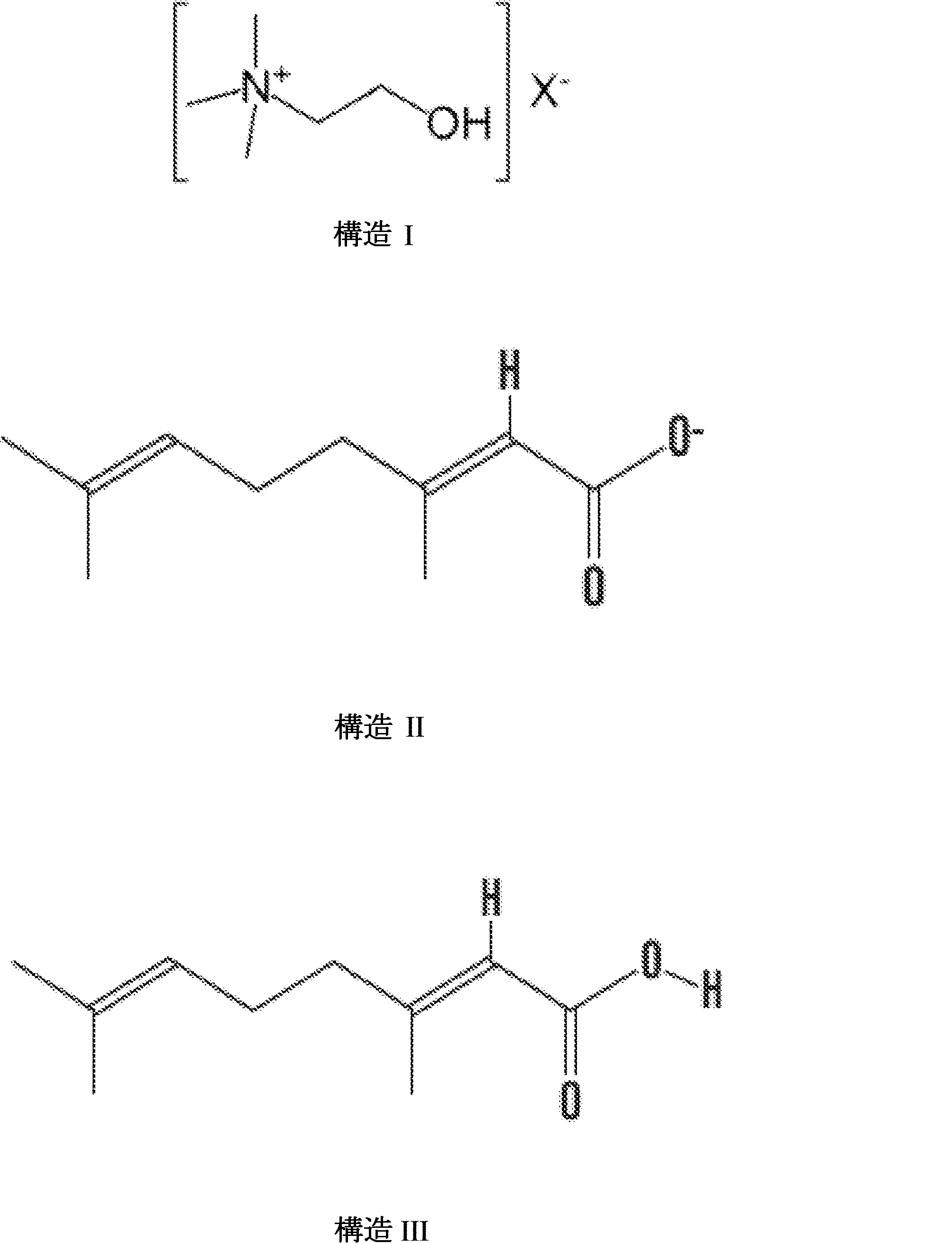
JP2023503899A - 薬物送達のためのイオン液体 - Google Patents。

好きです: 153

単品購入よりも450円お得!ガムボール3袋セット つめかえ 用 ガムボール 直径約16〜18mm 約 400g 入 ガムガチャ マシーン マシンバブルガム フーセンガム 10円ガム 詰替 詰め替え リフィル お菓子 おやつ ご褒美 駄菓子 ヴィレヴァン ドンキ 日本製 国産 大容量 業務用。

好きです: 401

カム機構の歴史カムの加工・製造株式会社輝工作所。

好きです: 487

多糖類概要多糖類.comMP五協フード&ケミカル。

好きです: 461

ジェランガムの基本情報・配合目的・安全性化粧品成分オンライン。

好きです: 40

機甲戦記ドラグナー ギルガザムネ ドルチェノフ仕様-サンライズロボット研究所SUNRISE ROBOT-ロボットアニメの公式ロボット図鑑を無料公開。

好きです: 144

☆マナテック☆アンブロトースライフ☆。

好きです: 274

マナテック アンブロトースパウダー100g ◎限定特価!10個!マナテック アンブロトース ライフ パウダー 100g。

好きです: 250

増粘・ゲル化の原理と特性、ハイドロコロイドの基礎を徹底解説食品開発ラボ。

好きです: 483

多糖類概要多糖類.comMP五協フード&ケミカル。

好きです: 328

からだの構造と機能 Ⅰ 脊柱の基礎・頸椎と頭蓋・胸椎と胸郭・上肢GAIA BOOKSユッタ・ホッホシールド, 丸山 仁司,バンヘギ裕美子 本通販Amazon。

好きです: 260

冷凍食品技術研究。

好きです: 199

ハートカム構造リフターミネベア アクセスソリューションズ株式会社。

好きです: 445

GaNトランジスタ、出力を従来の3倍に向上:レーダーの観測範囲は2.3倍に - EE Times Japan。

好きです: 258

ハンマービーム屋根Hammerbeam roof。

好きです: 145

ドラム缶破砕システム廃棄物処理ソリューション神鋼環境ソリューション。

好きです: 430

オードリー 3点セット 名古屋限定 ポーチ&マグカップ+くま缶。

好きです: 232

増粘・ゲル化の原理と特性、ハイドロコロイドの基礎を徹底解説食品開発ラボ。

好きです: 306

Hダイヤモンドトラス - 立体構造巴コーポレーション。

好きです: 346

ドラム缶の基礎知識・製造工程ドラム缶工業会。

好きです: 470

Samsungが3nm世代GAAトランジスタ量産開始、予告にギリギリ滑り込み日経クロステック xTECH。

好きです: 141

主鎖構造「歪み」を考慮したタンパク質構造の人工設計 – 生命創成探究センタ。

好きです: 63

ダイユータンガム三晶株式会社 Sansho Co., Ltd。

好きです: 78

JP2009539851A - Substituted pyrazolo1,5-apyridine compounds and methodsof use thereof - Google Patents。

好きです: 370

◎最新最安!10個!マナテック アンブロトース ライフ パウダー 100g Amazon.co.jp: マナテック。

好きです: 42

マナテック 糖鎖 アンブロトース ライフ パウダー3個。

好きです: 189

多糖類の相乗効果三晶株式会社 Sansho Co., Ltd。

好きです: 426

増粘・ゲル化の原理と特性、ハイドロコロイドの基礎を徹底解説食品開発ラボ。

好きです: 355

おすすめの写真ページ:

トラガントガム 構造
会社名
幻光舎
住所情報: 257 吉田Mall, Suite 424, 715-5077, 北海翔町, 岩手県, Japan
電話でお問い合わせ: +81 70-5912-7306